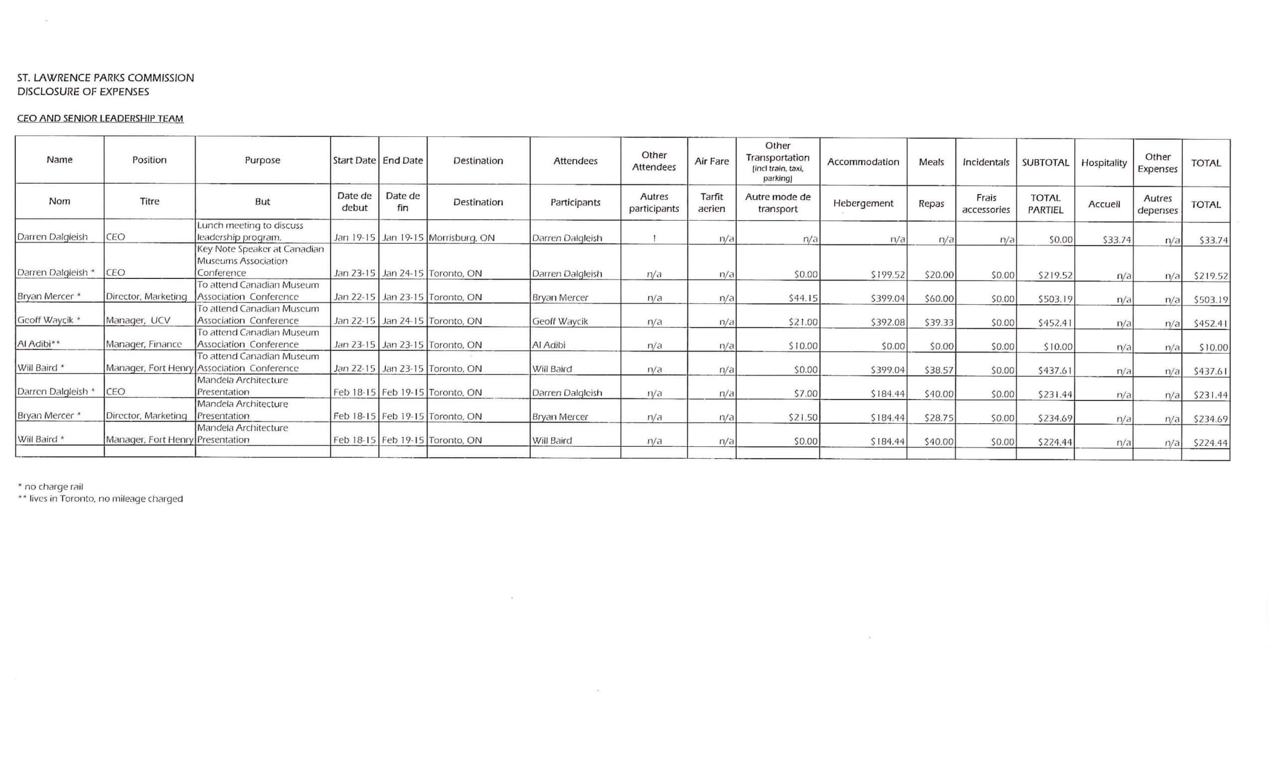
Governance Documents and Expense Information


Ontario’s new Open Government initiative makes it easier for people to interact with the government through new tools and technologies, access government information, and leverage government data to solve everyday problems and develop new ideas. Governance documents are posted to fulfill the government’s objective to increase transparency. To fulfill this objective, the St. Lawrence Parks Commission has posted the documents below.